Differenze tra le versioni di "Inibitori della pompa protonica"

Da Wikifarmaco.
Riga 4: Riga 4:
 
* [[Pantoprazolo]]
 
* [[Pantoprazolo]]
 
* [[Rabeprazolo]]
 
* [[Rabeprazolo]]
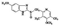
<gallery widths=160px heights=160px perrow=3 caption="Strutture">
+
<gallery widths=210px heights=160px perrow=3 caption="Strutture">
 
File:Esomeprazolo.jpg|[[Esomeprazolo]]
 
File:Esomeprazolo.jpg|[[Esomeprazolo]]
 
File:Lansoprazolo.jpg|[[Lansoprazolo]]
 
File:Lansoprazolo.jpg|[[Lansoprazolo]]

Versione delle 22:29, 18 ott 2011