Pinaverio bromuro
Versione del 29 gen 2013 alle 00:40 di Hadihajar (Discussione | contributi)
Indice
SPECIALITÀ
- Dicetel monografia 30 COMPRESSE RIVESTITE 50MG
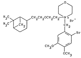
STRUTTURA
MECCANISMO D’AZIONE
INDICAZIONI
CONTROINDICAZIONI
POSOLOGIA
AVVERTENZE
INTERAZIONI
EFFETTI COLLATERALI
LINK CORRELATI
- [[]]
