Aztreonam
| Le informazioni qui riportate non sono consigli medici e potrebbero non essere accurate. Questa voce ha solo scopo illustrativo e non sostituisce il parere di un medico: leggi le avvertenze. |
| Clicca su "►" per espandere: |
Indice
SPECIALITÀ[modifica]
AZTREONAM SALE DI ARGININA:
- Primbactam IM EV FL 0.5G, IM EV FL 1G
- Cayston 75 mg polvere e solvente per soluzione per nebulizzatore
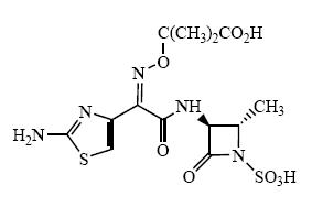
STRUTTURA[modifica]
MECCANISMO D’AZIONE[modifica]
Antibiotico beta-lattamico ad azione battericida appartenente al gruppo dei Monobattami.
Agisce inibendo la sintesi della parete della cellula batterica .Infatti il peptidoglicano della parete cellulare batterica non essendo presente nelle cellule umane, rappresenta un bersaglio ideale per uccidere i batteri.
L'Aztreonam agisce al terzo stadio del processo di formazione del peptidoglicano , impedendo la formazione dei legami crociati della parete cellulare. La formazione di tali legami è catalizzata da un gruppo di enzimi i PBP (penicillin binding proteins) localizzati sulla faccia esterna della membrana.
I PBP rimuovono un residuo di D-alanina terminale dal pentapeptide, rilasciando energia che viene utilizzata per la formazione dei legami crociati nel peptidoglicano.
L'Aztreonam inibisce le PBP mediante un meccanismo competitivo, perche somiglia al dimero D-ala D-ala.
Il legame betalattamico viene cosi scisso da parte dei PBP e l'Aztreonam scisso si fissa covalentemente all’enzima formando un complesso acil-enzima molto stabile.
Gli enzimi, così bloccati, non sono più in grado di catalizzare le reazioni di sintesi del peptidoglicano e il risultato finale e' una lisi della cellula batterica.
Aztreonam ha una forte attività contro i batteri gram-negativi, Pseudomonas aeruginosa incluso, ma si lega scarsamente ai PBP dei batteri gram-positivi e anaerobi e quindi è inefficace su questi
INDICAZIONI[modifica]
- per via parenterale l'aztreonam è indicato in caso di gravi infezioni causate da batteri gram-negativi sensibili al farmaco (infezioni delle vie urinare, infezioni delle basse vie respiratorie ecc)
- Sotto forma di soluzione da nebulizzare (Cayston), aztreonam è indicato per sopprimere le infezioni polmonari croniche dovute al batterio Pseudomonas aeruginosa in pazienti di età pari o superiore a 6 anni affetti da fibrosi cistica.
CONTROINDICAZIONI[modifica]
POSOLOGIA[modifica]
Adulti:
- Infezioni sistemiche gravi che minacciano la vita: 2 g ogni 6 ore
- Per infezioni sistemiche gravi: 1-2 g ogni 8/12 ore
- Infezioni delle vie urinarie : 0.5-1 g ogni 8/12 ore
AVVERTENZE[modifica]
INTERAZIONI[modifica]
EFFETTI COLLATERALI[modifica]
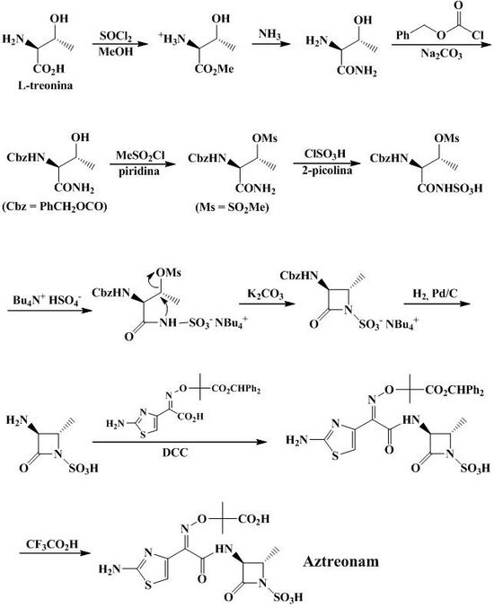
SINTESI[modifica]
LINK CORRELATI[modifica]
- [[]]
