Tobramicina
| Le informazioni qui riportate non sono consigli medici e potrebbero non essere accurate. Questa voce ha solo scopo illustrativo e non sostituisce il parere di un medico: leggi le avvertenze. |
| Clicca su "►" per espandere: |
| Clicca su "►" per espandere: |
Indice
SPECIALITÀ[modifica]
TOBRAMICINA
- Tobral
- COLLIRIO 5ML 0,3% , UNGUENTO OFTALMICO 0,3% monografia
- COLLIRIO a rilascio prolungato 3mg/ml monografia
- GOCCE AURICOLARI 0,3% 5ML monografia
TOBRAMICINA SOLFATO
- Nebicina monografia
- 20mg/2ml ini fl 20ml
- 40mg/ml ini 1ml fl
- 150mg/2ml ini 2ml fl
- 100mg/2ml ini 2ml fl
TOBRAMICINA/DESAMETASONE
- Tobradex
- collirio e unguento oftalmico monografia
- gocce auricolari monografia
- Combitimor collirio 5 ml 0,3% + 0,1%, 20 flaconcini collirio 0,25 ml monografia
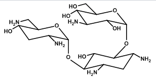
STRUTTURA[modifica]
MECCANISMO D’AZIONE[modifica]
INDICAZIONI[modifica]
CONTROINDICAZIONI[modifica]
POSOLOGIA[modifica]
AVVERTENZE[modifica]
INTERAZIONI[modifica]
EFFETTI COLLATERALI[modifica]
LINK CORRELATI[modifica]
- [[]]
