Dorzolamide/Timololo

Da Wikifarmaco.
Versione del 26 ago 2014 alle 16:20 di Hadihajar (Discussione | contributi) (Sostituzione testo - '|titlemode= append' con '|titlemode=')
Avvertenze.png
Le informazioni qui riportate non sono consigli medici e potrebbero non essere accurate. Questa voce ha solo scopo illustrativo e non sostituisce il parere di un medico: leggi le avvertenze.

SPECIALITÀ

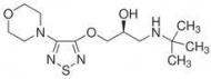
STRUTTURA

MECCANISMO D’AZIONE

Dorzolamide e' un inibitore dell’anidrasi carbonica II (CA‑II).

L'anidrasi carbonica (AC) è un enzima che si ritrova in molti tessuti corporei, compresi gli occhi. l'inibizione di questo enzima a livello oculare porta ad una minor produzione di umor acqueo e quindi una riduzione della pressione intraoculare presumibilmente per un rallentamento della formazione di ioni bicarbonato con conseguente riduzione del trasporto di sodio e fluido.

Il timololo è un agente betabloccante non selettivo, inibisce i recettori adrenergici sia beta1 che beta2. il timololo abbassa la pressione intraoculare diminuendo la produzione di umore acqueo da parte del corpo ciliare.

L’effetto combinato di questi due principi attivi determina una riduzione addizionale della pressione intraoculare (PIO) se confrontato con ciascuno dei due componenti somministrato da solo.

INDICAZIONI

Riduzione della pressione intraoculare elevata nel trattamento del glaucoma, quando il collirio beta-bloccante da solo non è sufficiente.

CONTROINDICAZIONI

  • malattia reattiva delle vie aeree, inclusa l’asma bronchiale, o anamnesi positiva per asma bronchiale, o malattia polmonare cronica ostruttiva grave
  • bradicardia sinusale, sindrome del seno malato, blocco seno-atriale, blocco atrioventricolare di secondo o terzo grado non controllato con pacemaker, insufficienza cardiaca conclamata, shock cardiogeno
  • compromissione renale grave (clearance della creatinina < 30 ml/min) o acidosi ipercloremica
  • ipersensibilità verso uno o entrambi i principi attivi

POSOLOGIA

La dose è una goccia nel sacco congiuntivale di ciascun occhio affetto due volte al giorno.

Se questo collirio viene usato insieme ad altri colliri, le gocce devono essere instillate a distanza di almeno10 minuti.

Dopo l’utilizzo del collirio, premere con un dito l’angolo dell’occhio dal lato del naso per due minuti. Questo aiuta a prevenire che Arutidor venga assorbito dal corpo.

AVVERTENZE

INTERAZIONI

  • Potrebbero verificarsi ipotensione e/o marcata bradicardia – quando un collirio a base di timololo maleato viene somministrato insieme a calcio-antagonisti per via orale, farmaci che causano la deplezione delle catecolamine o beta bloccanti, antiaritmici (incluso l’amiodarone), glicosidi digitalici, parasimpaticomimetici, guanetidina, narcotici e inibitori delle monoaminossidasi (MAO)

GRAVIDANZA E ALLATTAMENTO

Gravidanza:

Dorzolamide/Timololo non deve essere utilizzato durante la gravidanza se non chiaramente necessario.

Timololo: Studi epidemiologici non hanno rivelato effetti di malformazione, ma hanno mostrato un rischio di ritardo di crescita intrauterina quando i beta-bloccanti sono somministrati per via orale. Inoltre, segni e sintomi di blocco dei recettori beta adrenergici (es. bradicardia, ipotensione, distress respiratorio ed ipoglicemia) sono stati osservati nel neonato quando i beta-bloccanti sono stati somministrati fino al parto. Se questo collirio viene somministrato fino al parto, il neonato deve essere accuratamente monitorato nei suoi primi giorni di vita.

Dorzolamide: Non sono disponibili dati clinici adeguati nelle donne in gravidanza esposte alla Dorzolamide. Nei conigli, la dorzolamide ha effetti teratogenici a dosi tossiche per la madre


Allattamento

Non è raccomandato l’allattamento qualora si renda necessario il trattamento con Dorzolamide/Timololo collirio

EFFETTI COLLATERALI

Molto comune : (si manifesta in più di 1 persona su 10)

  • Bruciore e irritazione degli occhi
  • Compromissione del gusto


Comune (si manifesta in meno di 1 persona su 10)

  • Cefalea
  • Segni e sintomi di irritazione oculare come bruciore, irritazione, prurito, lacrimazione, rossore, infiammazione della palpebra, infiammazione della cornea, visione offuscata, diminuzione della sensibilità corneale, secchezza oculare, erosione corneale (danno allo strato superficiale dell’occhio), sensazione di corpo estraneo nell’occhio (compromissione corneale)
  • Infiammazione dei seni paranasali (sinusite)
  • nausea
  • stanchezza


Non comune (si manifesta in meno di 1 persona su 100)

  • capogiro, depressione
  • infiammazione dell’iride
  • battito cardiaco lento, svenimento
  • indigestione
  • calcoli renali (spesso caratterizzati da un esordio improvviso di dolore intenso , crampi localizzati in basso lungo la schiena e/o al fianco, inguine, addome)


Raro (si manifesta in meno di 1 persona su 1.000)

  • difficoltà a dormire (insonnia), depressione, incubi, perdite di memoria,
  • debolezza muscolare, aumento dei segni e dei sintomi della miastenia grave (malattia muscolare), ictus, sensazioni non comuni come spilli e formicolii
  • miopia temporanea che può risolversi alla fine del trattamento, distacco della coroide (il distacco dello strato sottostante la retina contenente vasi sanguigni dopo chirurgia filtrante può causare disturbi visivi), abbassamento della palpebra superiore (che lascia l’occhio socchiuso), visione doppia, formazione di croste sulla palpebra, rigonfiamento della cornea (insieme ai sintomi dei disturbi visivi), ipotensione oculare
  • ronzio nelle orecchie
  • bassa pressione sanguigna, battito cardiaco irregolare, cambi nel ritmo o nella velocità del battito cardiaco, dolore toracico, ictus, senso di pulsazione del cuore (palpitazioni), attacco cardiaco, insufficienza cardiaca congestizia (malattia al cuore che causa respiro corto e gonfiore a piedi e gambe a causa dell’accumulo di liquidi), edema (accumulo di liquidi), ridotta circolazione di sangue attraverso il cervello, gonfiore e sensazione di freddo a mani e piedi, e ridotta circolazione nelle braccia e nelle gambe, fenomeno di Raynaud, crampi alle gambe e/o dolore alle gambe durante la deambulazione (claudicatio), formicolio o intorpidimento delle mani e dei piedi
  • respiro corto, difficoltà a respirare, compromissione della funzionalità polmonare, secrezione e congestione nasale, sanguinamento dal naso, costrizione delle vie aeree (broncospasmo, principalmente in pazienti con preesistenti malattie bronco spastiche), tosse
  • irritazione della gola, bocca secca, disturbi del gusto, diarrea, vomito, dolore addominale
  • reazioni allergiche della pelle (dermatite da contatto), perdita di capelli, eruzione cutanea con aspetto dalla colorazione bianca argentata (eruzione cutanea psoriasiforme) o peggioramento della psoriasi, eruzione cutanea
  • malattia di Peyronie (che può causare una curvatura del pene), disfunzioni sessuali, diminuzione della libido, riduzione impulsi sessuali
  • dolore muscolare non causato da esercizio
  • bassi livelli di zucchero nel sangue
  • debolezza/stanchezza, reazioni di tipo allergico come eruzioni cutanee, orticaria, prurito cutaneo, in rari casi possibile gonfiore delle labbra e degli occhi, respiro sibilante
  • Lupus eritematoso sistemico (una malattia del sistema immunitario che può causare infiammazione degli organi interni).


Importanti effetti indesiderati ai quali prestare attenzione - e cosa fare se compaiono:

Qualora si manifestino reazioni allergiche inclusi

  • orticaria
  • eruzione cutanea (eruzione localizzata o generalizzata)
  • prurito
  • arrossamento e prurito oculare
  • reazioni allergiche generalizzate incluso gonfiore sottocutaneo che può comparire sul viso e sugli arti e può ostruire le vie respiratorie causando difficoltà di deglutizione o respirazione
  • grave improvvisa reazione anafilattica pericolosa per la vita

Interrompa l’uso di questo medicinale e cerchi immediatamente assistenza medica.

LINK CORRELATI

Glaucoma
Alfa agonisti Apraclonidina (Iopidine)   Brimonidina (Alphagan)   Clonidina (Isoglaucon )
Analoghi delle prostaglandine Bimatoprost (Lumigan)   Latanoprost (Iopize, Xalatan)   Tafluprost (Saflutan)   Travoprost (Travatan)
Betabloccanti Betaxololo (Betoptic)   Carteololo (Carteabak, Carteol, Fortidose, Fortinol)   Levobunololo (Vistagan)   Timololo (Droptimol, Ialutim, Timogel, Timolabak, Timoptol...)
Parasimpaticomimetici (Agonisti muscarinici) Aceclidina   Pilocarpina (Dropilton)
Alfa agonisti Apraclonidina (Iopidine)   Brimonidina (Alphagan)   Clonidina (Isoglaucon )
Inibitori dell'anidrasi carbonica Acetazolamide (Diamox)   Brinzolamide (Azopt)   Dorzolamide (Trusopt)
Combinazioni Timololo/Aceclidina (Glautimol)   Timololo/Pilocarpina (Equiton)   Timololo/Brimonidina (Combigan)   Timololo/Brinzolamide (Azarga)   Timololo/Dorzolamide (Cosopt)   Timololo/Bimatoprost (Ganfort)   Timololo/Latanoprost (Droplacomb, Xalacom)   Timololo/Travoprost (Duotrav)