Aminofillina
| Le informazioni qui riportate non sono consigli medici e potrebbero non essere accurate. Questa voce ha solo scopo illustrativo e non sostituisce il parere di un medico: leggi le avvertenze. |
Indice
SPECIALITÀ[modifica]
- Aminomal 20CONF 200MG, 20CPR DIV 600MG RP, 10SUPP 350MG, INIET 3F 240MG 10ML, INIET 6F 350MG 2ML
- Tefamin 30 COMPRESSE RIVESTITE 200MG , INTRAMUSCOLO 10 FIALE 1,5ML 240MG, IV 5 FIALE 10ML 240MG/10ML
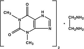
STRUTTURA[modifica]
MECCANISMO D’AZIONE[modifica]
L'aminofillina è un prodotto di combinazione della teofillina con la etilendiamina ed è assai più solubile in acqua della teofillina.
Essa pertanto risulta particolarmente adatta sia per la somministrazione orale che parenterale.
rispetto alla teofillina risulta meno potente e ha una durata d'azione più breve.
L'aminofillina ha lo stesso meccanismo d'azione della teofillina ; provoca rilasciamento della muscolatura liscia dei bronchi(broncodilatazione) per inibizione della fosfodiesterasi, enzima che catalizza la conversione dell'cAMP in 5 AMP (accumulo di cAMP)
Più recentemente numerose indagini cliniche e sperimentali hanno dimostrato che la teofillina ha la capacità di svolgere anche un'azione inibente sull'attivazione dell'apparato microtubolare mastocitario, provocando una inibizione o riduzione della liberazione di mediatori chimici (istamina). La teofillina, inoltre, è dotata di un potente effetto stimolante sul centro respiratorio, che risulta particolarmente evidente quando il centro stesso è depresso, come nella insufficienza respiratoria grave.
INDICAZIONI[modifica]
Antiasmatico di seconda o terza scelta, a cui si ricorre solamente quando gli altri farmaci non sono efficaci.
CONTROINDICAZIONI[modifica]
POSOLOGIA[modifica]
AVVERTENZE[modifica]
INTERAZIONI[modifica]
EFFETTI COLLATERALI[modifica]
Nausea, vomito e dolore addominale (all'inizio della terapia)
Agitazione, tachicardia, tremori muscolari ed aritmia.
Cefalea ed insonnia
LINK CORRELATI[modifica]
- [[]]
| Asma / Broncopneumopatia cronica ostruttiva (BPCO) | ||
|---|---|---|
| Adrenergici | β2-agonisti a breve durata d'azione | Fenoterolo (Dosberotec) • Salbutamolo (Broncovaleas, Ventolin) • Terbutalina (Bricanyl) |
| β2-agonisti a lunga durata d'azione | Clenbuterolo (Monores) • Formoterolo (Atimos, Eolus, Foradil...) • Salmeterolo (Salmetedur, Serevent) | |
| β2-agonisti a durata d'azione ultra lunga | Indacaterolo (Hirobriz Breezhaler, Onbrez Breezhaler) • Vilanterolo | |
| Glucocorticoidi per uso inalatorio | Beclometasone (Clenil, Becotide) • Budesonide (Miflo) • Ciclesonide (Alvesco) • Flunisolide (Assolid, Flunitop, Forbest, Lunibron, Nebulcort...) • Fluticasone (Flixotide, Fluspiral) • Mometasone (Asmanex) | |
| Anticolinergici (antagonisti muscarinici) | Aclidinio bromuro (Bretaris Genuair, Bretaris Genuair) • Glicopirronio bromuro (Enurev breezhaler, Seebri breezhaler, Tovanor breezhaler) • Ipratropio (Atem) • Oxitropio (Oxivent) • Tiotropio (Spiriva) | |
| Stabilizzatori dei mastociti | Cromoglicato (Lomudal) • Nedocromile (Tilade) | |
| Anticorpi Anti-IgE | Omalizumab (Xolair) | |
| Derivati Xantinici | Aminofillina • Bamifillina • Diprofillina • Doxofillina (Doxovent, Ansimar) • Teofillina (Tefamin, Respicur, Theodur) | |
| Antagonisti dei leucotrieni | Montelukast (Lukasm, Mintalos, Montegen, Singulair) • Zafirlukast (Accoleit) | |
| Inibitori della fosfodiesterasi 4 | Roflumilast (Daxas) | |
| Combinazioni | Glucocorticoidi + β2-agonisti a lunga durata d'azione | Beclometasone/Formoterolo (Formodual, Foster, Inuver) • Budesonide/Formoterolo (Assieme, Sinestic, Symbicort) • Fluticasone/Formoterolo (Flutiformo) • Fluticasone/Salmeterolo (Aliflus, Seretide) |
| Glucocorticoidi + β2-agonisti a breve durata d'azione | Beclometasone/Salbutamolo (Clenil compositum) • Salbutamolo/Flunisolide (Plenaer) | |
| β2-agonisti a breve durata d'azione + Antagonisti muscarinici | Fenoterolo/Ipratropio (Duovent) • Salbutamolo/Ipratropio (Almeida, Biwind, Breva, Naos) | |
| β2-agonisti a durata d'azione ultra lunga + Antagonisti muscarinici | Indacaterolo/Glicopirronio bromuro (Ultibro Breezhaler) | |
